Dilation Works on Rock Matrix to Enhance Heavy Oil Production

Successful production of heavy oil and especially, bitumen, starts by reducing its viscosity and/or increasing its mobility. Typical methods to achieve this are by heating and/or using of solvents or similar additives, which can be collectively called stimulants. A wide-spread contact of the stimulants with the oil phase is essential for their efficiency. This provides an opportunity for the rock matrix to be engineered in order to increase the contact area, by creating new porosities and micro-cracks for the stimulants to travel deep beyond the frontal area and into a large volume of the reservoir. For example, the heating efficiency of steam will be increased if it can contact the heavy oil in a large part of the reservoir, as compared to only along the thin conduction front, resulting in faster production and increased mobilized oil volume.

“A wide-spread contact of the stimulants with the oil phase is essential for their efficiency.”


Dilation Mechanism

Figure 1: A schematic showing the shear-induced dilation (left) and its transition to tensile micro-cracking (right). The shaded area denotes open pore space.

 

The study and engineering of the formation of new porosities and micro-cracks belongs to the domain of geomechanics; this is a sub-category of solid mechanics dealing with rock deformation and failure. A large number of laboratory tests in the 1960’s to 1990’s demonstrated that the oilsands has longitudinal to inter-locked grain-grain contact structures (Dusseault and Morgenstern, 1979). This makes the sands possess a higher-than-normal tendency towards dilation (Samieh and Wong, 1997). Yuan et. al (2011) reviewed these historical works and further showed, by a combination of theoretical analysis and history-matching of field tests, that fracturing in the oil sands formations can be engineered to take the form of shear-induced dilation and micro-tensile cracking.


“... by a combination of theoretical analysis and history-matching of field tests, that fracturing in the oil sands formations can be engineered to take the form of shear-induced dilation and micro-tensile cracking.”

Figure 2: A schematic showing that a stimulated reservoir volume (SRV, shaded area) can be formed along the whole horizontal well length without packers installed. Inside the SRV are dilated porosities (invisible to unaided eyes), micro cracks seen in lab tests under low confining pressures or in the repeat image logs from the field. The image log was directly excerpted from Kry et al. (1992), and the lab test photos were published in Yuan (2018).

 

As is shown in Figure 1, this shear-dominant dilation tends to loosen sand grains from a densely compacted state to cause new open pores resulting from larger spacing between the grains. Continuous injection moves fluid into the new pore spaces, which can eventually push the sand grains apart from each other, i.e. transitioning to micro-tensile cracks. These micro-cracks do not connect with each other to form a continuous tensile aperture, i.e., tensile fracture, but are dispersed over a large volume as is shown in Figure 2.

Figure 2 is a conceptual diagram illustrating the stimulated reservoir volume formed by dilation. It typically takes 2 to 7 days in the field (e.g., Yuan et. al, 2017) to achieve this state, depending on the initial formation permeability and geological complexities inherent in the reservoir. This forms a sharp contrast with common hydraulic fracturing jobs, which typically take 1 to 2 hours to complete each stage.

Each dilation job is methodically executed in phases from pre-conditioning to dilation initiation and propagation. Unique for dilation, the pre-conditioning phase closely manages the well injection so that pore pressure conditions around the wells and the resulting poro-elastic and/or thermo-elastic backstresses are combined to favor the occurrence of shear dilation while preventing tensile fracturing.

Outcome of the Dilation Stimulation

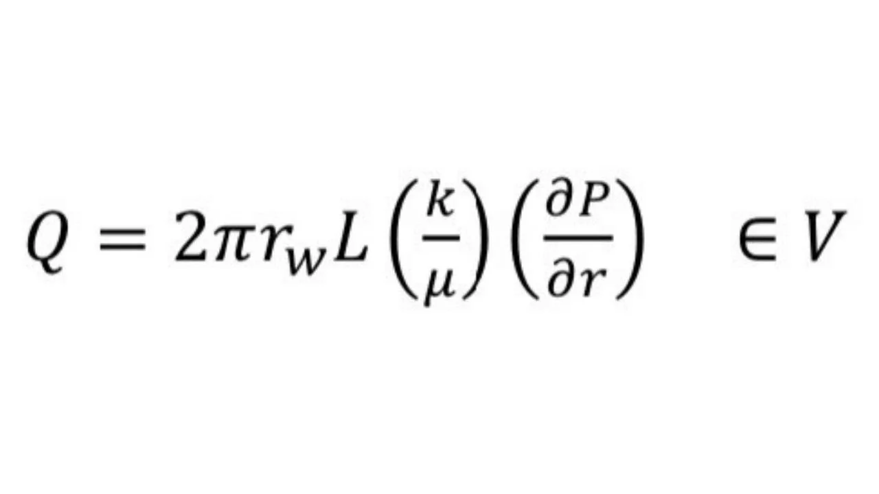
Dilation increases well injectivity or productivity by a combination of increased permeability (k) and conformance length (L); i.e., by the product of L*k, as is explained by the fundamental Darcy’s equation:

 

The increase in k by dilation is limited (e.g., in the order of a Darcy) and the increase is distributed along the majority of the well length, e.g., 80% of an 800- m long SAGD well. Thus, the increased L*k product for this example is 80%*800 m*1 Darcy = 640 Darcy.m. In comparison, a hydraulic fracture job can create a huge permeability increase, but over a very limited aperture (e.g., 1 mm). The resulting L*k for this example is (1 mm)^2*1/12*1 mm = 83 Darcy.m, which requires more than 75 frac stages, each creating similar apertures, to match the dilation effect. This difference shows that dilation has several advantages over hydraulic fracturing stimulation: no or limited stages required; no or minimum proppants injected; and good conformance preventing inter-well breakthrough.

Derivative benefits offered by dilation include: being intrinsically safe for maintaining geo-containment integrity; less field equipment and thus, less of a footprint required to carry out a dilation job; and higher stimulation efficiency (for example, in terms of reduced steam oil ratios in thermal heavy oil production).

“... dilation has several advantages over hydraulic fracturing stimulation: no or limited stages required; no or minimum proppants injected; and good conformance preventing inter-well breakthrough.”

In 2010, dilation stimulation was successfully applied for a faster and stronger start up to the SAGD process (Cenovus, 2010). Since then, its use has been expanded to elsewhere in the world. A dilation zone, which is horizontally uniform along the well length, is created before or during the initial steam injection around each of the SAGD well pairs, vertically connecting both wells (Figure 3a). The uniform conformance happens via bullhead injection without mechanical packers installed along the well length. After the dilation and during subsequent reservoir processes, which likely proceed at lower pressures, the friction resistance increases. This causes the dilated volume (increased porosity and permeability) to be locked in place. As a result, more steam enters the reservoir readily, i.e. the steam injectivity increases (Figure 3b), and the oil production thus accelerates (Figure 3c).

 
 

Concluding Remarks

As the oil/gas industry enters a new era where difficult reservoirs are the norm and sustainability requirements are more stringent, integrated consideration of all physico-chemical mechanisms active in subsurface will be key. The traditional emphasis of reservoir engineers on the fluid flow in porous media should be synergized with attention to the rock matrix. Using geomechanics wisely can create additional porosities, conduits and contact areas to produce this oil. The experience of the author in stimulation via dilation can testify to improved production if the rock matrix can be worked on.

Benefits of the fundamental rock dilation mechanism are not limited to unconsolidated oilsands formations. Its application to conventional reservoirs has generated equally remarkable successes in terms of increased well injectivity in water flooding, gas injection and improved tight reservoir production. It is anticipated that dilation can play an important role in CO2 subsurface sequestration because of its advantages in enhancing well injectivity and reservoir storativity while being safe for geo-containment integrity.

“As the oil/gas industry enters a new era where difficult reservoirs are the norm and sustainability requirements are more stringent, integrated consideration of all physico-chemical mechanisms active in subsurface will be key.”


Yanguang ("YY") Yuan,

Ph.D., P.Eng., P.Geol. ‍

 

Dr. Yanguang Yuan, “YY”, holds dual professional registrations (P.Eng. and P.Geol.) in Alberta, Canada. After earning his B.Sc. in Geology and M.Sc. in Tectonophysics in China, he studied in the University of Oklahoma, USA in 1993 for his Ph.D. in Geological Engineering (with a minor in Petroleum Engineering). He relocated to Canada in 1997, working in Imperial Oil Resources Ltd. In 2000, he founded BitCan and over the years, has grown it into one of the few integrated independent petroleum geomechanics firms in the world. Dr. Yuan is a respected expert in the field of petroleum geomechanics through his theoretical researches, technology development, field execution and consulting.

He has made important contributions to the industry in two pillars: promotion of rock shear failure and thus dilation effect for reservoir stimulation, and meanwhile, protection of the caprock, casing and fault seal integrity, i.e., geo-containment integrity. The dilation stimulation has proven to be a viable alternative to the common hydraulic fracturing. In the field of geo-containment integrity, Dr. Yuan’s contributions have been in providing reliable formation characterization data (in-situ stress and rock mechanical property measurements), simulation of the non-linear coupled thermo-hydro-mechanical (THM) process to investigate the induced stress conditions and thus design the reservoir injection conditions to avoid undesirable failure in the rock formations and well hardware surrounding the reservoir.

 

REFERENCES

Cenovus FCCL Ltd., 2010, Christina Lake Thermal Project. Enhanced Start-Up Application for Well Pads B03, B04, B05 and B07. Alberta Energy Regulator (AER) Application No. 1666419. https://doi.org/10.1155/2021/8823212

Dusseault, M.B. and Morgenstern, N.R., 1979, Locked sands, Q. Journal Engineering Geol., 12, 117-131. https://doi.org/10.1144/gsl.qjeg.1979.012.02.05

Kry, P.R., Boone, T.J., Gronseth, J.M., et al., 1992, Fracture orientation observations from an Athabasca oil sands cyclic steam stimulation project. CIM paper no. 92-37 presented at CIM 1992 Annual Technical Conference in Calgary, June 7-10, 1992. https://www.scribd.com/document/458477228/ISRM-ISG-2017-003

Samieh, M. and R.C.K. Wong, 1997, Deformation of Athabasca oil sand at low effective stresses under varying boundary conditions. Canadian Geotech J., 34, 985-990. https://doi.org/10.1139/t97-048

Yuan, Y.G., Yang, B. H. and Xu, B., 2011, Fracturing in the oil-sands reservoirs. CSUG/SPE 149308149308 presented at 2011 CSUG/SPE Canadian Unconventional Resources Conference held in Calgary, Canada, 15-17 November 2011. https://doi.org/10.2118/149308- MS

Yuan, Y.G., Xu, B., and Yang, B.H., 2017, Application of Geomechanics in Heavy Oil Production – Advanced Canadian Experience. Presented at 7° Simposio Internacional de Geomecanica 2017: “Sustainable Heavy Oil Exploitation, Innovation and Geomechanical Contributions”, 13- 16 March 2017, Medellin, Antioquia, Colombia. https://onepetro.org/ISRMISG/proceedings- abstract/ISG17/All-ISG17/ISRM-ISG-2017-003/42067?redirectedFrom=PDF

Yuan, Y.G., 2018, Hydraulic dilation stimulation to improve steam injectivity and conformance in thermal heavy oil production, SPE 193681149308 presented at the SPE International Heavy Oil Conference and Exhibition held in Kuwait City, Kuwait, 10 - 12 Dec 2018. https://doi.org/10.2118/193681-MS

Previous
Previous

Engineering the Geothermal Heating and Cooling of Buildings

Next
Next

Successful Cyclical Waterflood Pilot in a Mature Heavy Oil Field in Eastern Alberta